- 液位儀表系列
- 流量儀表系列
- 物位儀表系列
- 壓力/液位/差壓/密度變送器
- 液位/溫度/壓力/流量-報警儀
- PLC/DCS自動化控制監控系統
- GPRS無線遠傳裝置
- 物位儀表系列
- 有紙/無紙記錄儀系列
- 溫度儀表系列
- 分析儀|檢測儀|校驗儀系列
全國銷售熱線:400-9280-163
電話:86 0517-86917118
傳真:86 0517-86899586
銷售經理:1560-1403-222 (丁經理)
??? ? ? ? 139-1518-1149 (袁經理)
業務QQ:2942808253 / 762657048
網址:http://www.tiansocks.com
電話:86 0517-86917118
傳真:86 0517-86899586
銷售經理:1560-1403-222 (丁經理)
??? ? ? ? 139-1518-1149 (袁經理)
業務QQ:2942808253 / 762657048
網址:http://www.tiansocks.com
壓力/差壓液位變送器的不同安裝方式對于液位測量效果的影響
發表時間:2019-05-11 ??點擊次數:1462? 技術支持:1560-1403-222
火力發電廠的凝汽器水位、除氧器水位、汽包水位、高低加水位等等,在生產過程中都必須進行嚴格監視和調整。水位測量準確與否,直接關系到水位的自動調整和準確保護設備。目前使用的水位測量壓力/差壓液位變送器大部分是智能型,技術比較成熟,測量精度高,但傳統的安裝方式卻使液位測量存在諸多弊端,給設備的安全經濟運行造成不利影響,為此,對液位測量變送器的安裝方式應予以探討和改進。
1.壓力/差壓液位變送器測量水位的原理
壓力/差壓液位變送器是一個很**的名詞,從詞義上理解就是“轉變、傳送的儀器”。在工業生產中,變送器的作用是將被測介質的物理過程量,轉變為標準電量(0~5V/4~20mA等),然后傳送到相應的控制監視系統。
在火力發電廠中使用為**的液位測量壓力/差壓液位變送器是壓力/差壓變送器。其結構多種多樣,有電容式的,有擴散硅型等等,但基本測量原理是一致的。即利用液體的壓強公式P=pgh進行計量。式中:P為壓強;ρ為液體密度,對于某一溫度下的液體,ρ基本上是不變的,如果介質溫度變化范圍較大,可通過溫度補償修正;g為重力加速度,對于某一地區,g為一固定值;h為液體的高度或稱液位。因此,壓力/差壓液位變送器測量液體的高度h(液位),實際上是通過測出不同液位產生的不同壓力(壓強)P來計算得到的。
壓力/差壓液位變送器安裝及測量原理如圖1所示,變送器兩端測量到的差壓值△P=(P氣體+pgH)-P氣體=ρgH。通過換算(有時加上必要的零點遷移),我們就可以得到需要的容器內液位高度值h。
2.壓力/差壓液位變送器安裝方式對測量精度的影響
從壓力/差壓液位變送器液位測量原理上來看是很簡單的,但實際上因工況的復雜性,會有許多因素影響水位測量的準確性。在火電廠,容器內大都是高溫、高壓的液態水,由于蒸發作用,容器上部不是非凝結性的氣體而是遇冷會凝結的蒸汽,因此汽側取樣管內很容易形成凝結水,這樣就會在變送器的汽側產生1個附加的壓力,變送器兩端測量到的差壓值就變成△P=(P氣體+ρgH)-(P氣體+P凝結)<ρgH,即測量液位值比實際液位值小。
若壓力/差壓液位變送器安裝位置不當,可能造成水側取樣管與汽側取樣管的溫度相差較大,由于壓力/差壓液位變送器結構的原因,就會造成較大的水位測量誤差。又如水側取樣管的垂直部分產生了氣泡并附著在管壁上形成空段,那么因為H 針對上述情況,火電廠對于高溫、高壓容器內液位的測量,雖然采取了多種安裝方式,但到目前為止還沒有一種方法能完全解決因為蒸汽凝結等現象帶來的種種問題。
3.壓力/差壓液位變送器安裝實例分析及措施
1)定子冷卻水箱水位的測量
定子冷卻水箱屬于低溫、低壓容器。當前各火力發電廠普遍采用的壓力/差壓液位變送器測量水位的安裝方式如圖2a所示。在正常工況下,氣側取樣管充滿氣體,但當水位超過容器頂部很高時,水的過高壓力足夠壓縮氣側取樣管的空氣,使水進入B段取樣管,致使壓力/差壓液位變送器測量到的差壓減小,顯示的水位也偏低,從而給出錯誤的信息。
常規的解決方法是在取樣管下部加裝一個儲水罐,但一旦水開始進入氣側取樣管,很快就可以填滿儲水罐,并進而填滿氣側取樣管,導致測量錯誤因此,可將儲水罐移到氣側取樣管A段,其作用由儲水改為增壓,如圖2b所示,其原理如下:
設氣側取樣管內徑ф14mm,長度為5000mm,則氣側取樣管的容積為769690mm。如果我們選擇內徑為ф140mm,高度為100mm的增壓罐,則增壓罐的容積為1539380mm,是氣側取樣管容積的2倍。即使水位大大超過水箱頂部,水要進入氣側取樣管B段,也必須將增壓罐內的空氣全部壓入氣側取樣管。根據氣體公式PV/T可知,由于氣體體積壓縮至原來的1/3,壓強則要增至原來的3倍。若在正常工況下,氣側取樣管與水箱上部氣體相通時,氣體的壓力高于大氣壓力P。,則水要進入B段取樣管,H段的水壓必須大于2P。,那么H的高度必須大于20m,這種情況在火電廠是不會出現的。而當水位回復正常時,增壓罐內的水則流入水箱,氣側取樣管仍保持通暢,與水箱上部相通,無需排污。經上述改造,定子冷卻水箱水位測量準確,達到了預期效果。
2)汽包水位的測量
汽包屬于高溫、高壓容器,目前一般采用平衡容器的安裝形式,見圖3a。
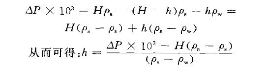
由于汽包內的水密度不是標準狀態下的密度,所以必須對測量出來的液位根據壓力(汽包內是飽和蒸氣,壓力與溫度對應)進行修正。同時,因為平衡容器和汽側取樣管的參比水柱H的密度與汽包內的水密度也不一樣,故還需要對此進行補償。根據國電公司25項重要反措給出的汽包水位測量公式:
式中:Pa為參比水柱平均水溫時的密度;Ps為飽和蒸氣密度;Pw為飽和水密度,kg/m3。
由于參比水柱H的溫度較高,其密度受環境溫度的影響,很難給出一個準確值,所以只能用平均水溫(60℃左右)時的密度來代替,這就給測量帶來一定的誤差。而更重要的是,在實際運行中,我們發現:因為露天環境的影響,A、B側平衡容器的溫度可以相差幾十度,致使同一時間內,兩側水位測量值出現較大偏差(達到80mm)。究其根本原因是因為,這種傳統安裝方式的汽側需要蒸汽凝結成水后,提供一個固定的參比水柱,因此平衡容器不可能安裝得離汽包太遠,而且L段的取樣管不能太細,以免形成水柱。
針對以上情況,設計了如圖3b所示的安裝方式:將壓力/差壓液位變送器的位置放到與汽側取樣管平齊,汽側取樣段采用普通的ф14mm或ф16mm的取樣管,并有一微小的朝下角度。壓力/差壓液位變送器遠離汽包,使得汽側取樣管有足夠的長度來冷卻蒸汽,汽側取樣管中的水柱,因為沒有高度,所以不會對壓力/差壓液位變送器產生壓強。水側取樣管的段實際上與汽側取樣管是平齊的。依圖安裝后,第1次的投入使用步驟如下:
*先鍋爐上水,汽包內有0.2~0.5MPa壓力后,打開壓力/差壓液位變送器本體上的排污口。讓汽包內的水填滿水側取樣管,并從壓力/差壓液位變送器的排污口流出,此時關閉變送器本體排污口。這樣,由于排污口已封閉,即使汽包內的水位下降到取樣口以下,水側取樣管內的水也不會流回汽包。這就給變送器提供了一個固定的參比水柱H。因該參比水柱不是依靠蒸汽凝結形成的,因此只要合理選擇D段長度可使參比水柱的溫度等于環境溫度,基本上是穩定的。
此外,因為不再需要安裝平衡容器,其受環境溫度影響的問題也就不再存在。
該安裝方式也適合除氧器的水位測量。安裝時應注意的事項及其優點如下:
(1)保證汽側取樣管內有水柱,并有足夠的長度,避免壓力/差壓液位變送器兩側測量介質出現溫度差,壓力/差壓液位變送器的壓力傳感部分對溫度是很敏感的。
(2)水側取樣管內如果出現了氣泡,只要它上升到了段,就不會對測量產生影響。
(3)此種安裝方式的干擾因素少于平衡容器安裝方式,擁有更高的測量精度。
上一條:磁翻板液位計在工業萘初餾塔底液位檢測應用中的設計與使用
下一條:用戶在進行導波雷達液位變送器的設計選型時須關注的事項

1.壓力/差壓液位變送器測量水位的原理
壓力/差壓液位變送器是一個很**的名詞,從詞義上理解就是“轉變、傳送的儀器”。在工業生產中,變送器的作用是將被測介質的物理過程量,轉變為標準電量(0~5V/4~20mA等),然后傳送到相應的控制監視系統。
在火力發電廠中使用為**的液位測量壓力/差壓液位變送器是壓力/差壓變送器。其結構多種多樣,有電容式的,有擴散硅型等等,但基本測量原理是一致的。即利用液體的壓強公式P=pgh進行計量。式中:P為壓強;ρ為液體密度,對于某一溫度下的液體,ρ基本上是不變的,如果介質溫度變化范圍較大,可通過溫度補償修正;g為重力加速度,對于某一地區,g為一固定值;h為液體的高度或稱液位。因此,壓力/差壓液位變送器測量液體的高度h(液位),實際上是通過測出不同液位產生的不同壓力(壓強)P來計算得到的。
壓力/差壓液位變送器安裝及測量原理如圖1所示,變送器兩端測量到的差壓值△P=(P氣體+pgH)-P氣體=ρgH。通過換算(有時加上必要的零點遷移),我們就可以得到需要的容器內液位高度值h。

2.壓力/差壓液位變送器安裝方式對測量精度的影響
從壓力/差壓液位變送器液位測量原理上來看是很簡單的,但實際上因工況的復雜性,會有許多因素影響水位測量的準確性。在火電廠,容器內大都是高溫、高壓的液態水,由于蒸發作用,容器上部不是非凝結性的氣體而是遇冷會凝結的蒸汽,因此汽側取樣管內很容易形成凝結水,這樣就會在變送器的汽側產生1個附加的壓力,變送器兩端測量到的差壓值就變成△P=(P氣體+ρgH)-(P氣體+P凝結)<ρgH,即測量液位值比實際液位值小。
若壓力/差壓液位變送器安裝位置不當,可能造成水側取樣管與汽側取樣管的溫度相差較大,由于壓力/差壓液位變送器結構的原因,就會造成較大的水位測量誤差。又如水側取樣管的垂直部分產生了氣泡并附著在管壁上形成空段,那么因為H 針對上述情況,火電廠對于高溫、高壓容器內液位的測量,雖然采取了多種安裝方式,但到目前為止還沒有一種方法能完全解決因為蒸汽凝結等現象帶來的種種問題。
3.壓力/差壓液位變送器安裝實例分析及措施
1)定子冷卻水箱水位的測量
定子冷卻水箱屬于低溫、低壓容器。當前各火力發電廠普遍采用的壓力/差壓液位變送器測量水位的安裝方式如圖2a所示。在正常工況下,氣側取樣管充滿氣體,但當水位超過容器頂部很高時,水的過高壓力足夠壓縮氣側取樣管的空氣,使水進入B段取樣管,致使壓力/差壓液位變送器測量到的差壓減小,顯示的水位也偏低,從而給出錯誤的信息。
常規的解決方法是在取樣管下部加裝一個儲水罐,但一旦水開始進入氣側取樣管,很快就可以填滿儲水罐,并進而填滿氣側取樣管,導致測量錯誤因此,可將儲水罐移到氣側取樣管A段,其作用由儲水改為增壓,如圖2b所示,其原理如下:

設氣側取樣管內徑ф14mm,長度為5000mm,則氣側取樣管的容積為769690mm。如果我們選擇內徑為ф140mm,高度為100mm的增壓罐,則增壓罐的容積為1539380mm,是氣側取樣管容積的2倍。即使水位大大超過水箱頂部,水要進入氣側取樣管B段,也必須將增壓罐內的空氣全部壓入氣側取樣管。根據氣體公式PV/T可知,由于氣體體積壓縮至原來的1/3,壓強則要增至原來的3倍。若在正常工況下,氣側取樣管與水箱上部氣體相通時,氣體的壓力高于大氣壓力P。,則水要進入B段取樣管,H段的水壓必須大于2P。,那么H的高度必須大于20m,這種情況在火電廠是不會出現的。而當水位回復正常時,增壓罐內的水則流入水箱,氣側取樣管仍保持通暢,與水箱上部相通,無需排污。經上述改造,定子冷卻水箱水位測量準確,達到了預期效果。
2)汽包水位的測量
汽包屬于高溫、高壓容器,目前一般采用平衡容器的安裝形式,見圖3a。

由于汽包內的水密度不是標準狀態下的密度,所以必須對測量出來的液位根據壓力(汽包內是飽和蒸氣,壓力與溫度對應)進行修正。同時,因為平衡容器和汽側取樣管的參比水柱H的密度與汽包內的水密度也不一樣,故還需要對此進行補償。根據國電公司25項重要反措給出的汽包水位測量公式:

式中:Pa為參比水柱平均水溫時的密度;Ps為飽和蒸氣密度;Pw為飽和水密度,kg/m3。
由于參比水柱H的溫度較高,其密度受環境溫度的影響,很難給出一個準確值,所以只能用平均水溫(60℃左右)時的密度來代替,這就給測量帶來一定的誤差。而更重要的是,在實際運行中,我們發現:因為露天環境的影響,A、B側平衡容器的溫度可以相差幾十度,致使同一時間內,兩側水位測量值出現較大偏差(達到80mm)。究其根本原因是因為,這種傳統安裝方式的汽側需要蒸汽凝結成水后,提供一個固定的參比水柱,因此平衡容器不可能安裝得離汽包太遠,而且L段的取樣管不能太細,以免形成水柱。
針對以上情況,設計了如圖3b所示的安裝方式:將壓力/差壓液位變送器的位置放到與汽側取樣管平齊,汽側取樣段采用普通的ф14mm或ф16mm的取樣管,并有一微小的朝下角度。壓力/差壓液位變送器遠離汽包,使得汽側取樣管有足夠的長度來冷卻蒸汽,汽側取樣管中的水柱,因為沒有高度,所以不會對壓力/差壓液位變送器產生壓強。水側取樣管的段實際上與汽側取樣管是平齊的。依圖安裝后,第1次的投入使用步驟如下:
*先鍋爐上水,汽包內有0.2~0.5MPa壓力后,打開壓力/差壓液位變送器本體上的排污口。讓汽包內的水填滿水側取樣管,并從壓力/差壓液位變送器的排污口流出,此時關閉變送器本體排污口。這樣,由于排污口已封閉,即使汽包內的水位下降到取樣口以下,水側取樣管內的水也不會流回汽包。這就給變送器提供了一個固定的參比水柱H。因該參比水柱不是依靠蒸汽凝結形成的,因此只要合理選擇D段長度可使參比水柱的溫度等于環境溫度,基本上是穩定的。
此外,因為不再需要安裝平衡容器,其受環境溫度影響的問題也就不再存在。
該安裝方式也適合除氧器的水位測量。安裝時應注意的事項及其優點如下:
(1)保證汽側取樣管內有水柱,并有足夠的長度,避免壓力/差壓液位變送器兩側測量介質出現溫度差,壓力/差壓液位變送器的壓力傳感部分對溫度是很敏感的。
(2)水側取樣管內如果出現了氣泡,只要它上升到了段,就不會對測量產生影響。
(3)此種安裝方式的干擾因素少于平衡容器安裝方式,擁有更高的測量精度。
上一條:磁翻板液位計在工業萘初餾塔底液位檢測應用中的設計與使用
下一條:用戶在進行導波雷達液位變送器的設計選型時須關注的事項
- 相關文章
-
- 80G 高頻雷達物位計液位計適用于泡沫和攪拌工況的原因分析 【2025-08-06】
- 80G高頻雷達液位計防腐防爆耐高溫的功能是如何實現的? 【2025-07-23】
- 高頻雷達液位計在石油行業液位測量應用中的優勢有哪些 【2025-07-17】
- 雷達液位計測量時如何有效規避攪拌葉片和泡沫的干擾? 【2025-07-07】
- 差壓變送器測液位是負值 【2023-12-30】
- 壓力變送器與液位對應關系 【2023-12-17】
- 溫度變送器價錢多少錢 【2023-12-28】
- 防腐防爆浮球液位變送器 【2023-12-16】
- 液位壓力變送器安裝方式 【2023-12-20】
- 浮標液位計的分類、工作原理及組成結構 【2019-05-04】








